early one-third of the general population experiences symptoms of insomnia (defined as difficulty in falling asleep and, or staying asleep), with 4-26% experiencing excessive sleepiness and 20% experiencing excessive sleepiness [1]. Overwork and lack of sleep are major social problems, especially in Japan [2]. Use of electronic devices such as smartphones and tablets may interfere with a good night's sleep [3]. According to a survey by the Ministry of Internal Affairs and Communications of Japan, the smartphone ownership rate among young individuals is over 90% [4]. The use of cell phones and tablets before bedtime in individuals in their teens and 20s has increased by 20% in all countries [5]. Sleep is deeply related to autonomic nervous activity, with parasympathetic activity predominant during non-rapid eye movement (REM) and sympathetic activity during REM sleep [6]. Heart rate variability (HRV) is a noninvasive measure of autonomic activity [7]. For example, to sleep depth and HRV, low frequency (LF)/ high frequency (HF) components increase during REM sleep and decrease during non-REM-REM sleep [8]. Confirmation by simultaneous recording of sleep electroencephalography (EEG) and HRV has been demonstrated [9]. Exposure to a 6700K light before sleep suppresses increased HF components [10]. In other words, exposure to blue light from smartphones and other sources before bedtime may decrease parasympathetic nervous system activity. Therefore, refraining from using smartphones and other media devices before bedtime may activate the parasympathetic nervous system during sleep.
Voluntary control of breathing, significantly a decrease in rate, originated in Eastern traditions and has been used for thousands of years as an essential part of meditation and relaxation [11,12]. Slower than spontaneous breathing can activate the parasympathetic nervous system [13,14], and lower blood pressure upon awakening [15]. According to Kario et al. [16], a ten mmHg increase in home systolic blood pressure (SBP) at night is associated with a 20% increased risk of cardiovascular disease, independent of the day office and morning home blood pressures. Orjasalo et al. [17] reported that individuals with reduced parasympathetic function during sleep have a higher SBP during sleep. In other words, nocturnal home systolic blood pressure and parasympathetic activity could be related. Therefore, refraining from using media devices before bedtime and slow breathing may improve cardiac autonomic activity during sleep and home blood pressure at night.
Our objective was to examine the acute effects of slow breathing and refraining from using media devices on cardiac autonomic function and blood N pressure during sleep. We hypothesize that deep breathing during the day and non-use of media devices before bedtime will activate the parasympathetic nervous system, as indexed by HRV during sleep, and lower blood pressure.
Because HRV changes differ between men and women owing to hormonal differences [18], only men were recruited for this pilot study to minimize variability. Fifteen healthy male participants aged 19-20 who provided informed consent were recruited from Teikyo University of Science-related student programs. Before the start of the study, all participants provided written informed permission after receiving a complete verbal and written explanation of the purpose and methods of the analysis. Eligible participants were young male with no medical history and good health. Those with a history of abnormal blood/urine test results or hypertensionor abnormal chest radiograph or electrocardiogram findings and those taking medications that may alter blood pressure were excluded. The study was conducted by the Declaration of Helsinki and was reviewed and approved by the Ethics Committee of Teikyo University of Science (approval number: 22A009). Participants were instructed to go to bed at 0:00 and wake up at 07:00 for seven days before the test session; this schedule was maintained throughout the test. This reduced the impact of sleep duration on this study outcome. Each participant was randomly assigned to one of three conditions: (a) a slow breathing (BT) condition (12 consecutive breaths of 4 s of inhalation through the nose, 4 s pause, and 8 s of exhalation, approximately 3 min per breath), (b) a BT condition (BT+Non-LED) in which slow breathing was performed, and the use of light-emitting devices (LED; smartphones, tablets, computers, etc.) was prohibited 1 hr before bedtime, and (c) a control condition (CON) in which slow breathing was not performed and the use of LED was permitted. Participants randomly determined the order in which the three conditions were performed using the online Research Randomizer tool (www.randomizer.com) before the test session.
All tests were performed in a quiet room from 09:00 to 09:00 the next day. After written informed consent was obtained, the wearable heart rate sensor WHS-1 (Union Tool Corporation, Tokyo, Japan) was placed at the center of the participant's chest. The RR interval is the heart rate interval measured between the peaks of successive QRS waveforms on the ECG. It was measured using the wearable heart rate sensor WHS-1(UNION TOOL CO. Tokyo, Japan) and analyzed offline. Participants were instructed to rest in a seated position for 5 min while reading the study instructions, after which body composition (height, weight, body fat percentage, and body mass index [BMI]) and baseline heart rate and blood pressure were recorded. The researcher explained and demonstrated slow abdominal breathing to the participants so that they could fully understand it. Participants performed slow abdominal breathing with eyes closed and relaxed. The breathing control procedure was as follows. (1) Exhale entirely through the mouth. ( 2) While placing your hand on your belly, count 4 seconds in your mind, then breathe through your nose to expand your belly. (3) Count mentally for 4 seconds and hold your breath. (4) Count mentally for 8 seconds, exhale, and let the belly contract. Participants were asked to repeat for three minutes. In BT and BT+Non-LED conditions, abdominal breathing was performed every hour from 09:00 to 17:00 and at 23:00 (1hr before bedtime). In the BT+Non-LED condition, media devices were prohibited from 23:00 (1hr before bedtime); at 23:45 (before bedtime), a wrist blood pressure monitor (HEM-9601T, Omron Healthcare Corporation) was placed on the participant's left wrist for sleep preparation. The participant was instructed to sleep at 00:00; blood pressure and heart rate were automatically recorded at 02:00 and 04:00. Participants were awakened at 07:00 and had breakfast (typical Japanese rice, miso soup, and grilled fish) at 08:00. All measurements in the participants were completed at 09:00.
Body height was measured in 0.1 cm increments using a height meter (Sanwa Corporation, Tokyo, Japan), and body weight and fat percentage were measured noninvasively (impedance method) using a body composition analyzer (InnerScan Dual Black RD-E04BK, Tanita Corporation, Tokyo, Japan). BMI was calculated by dividing weight (kg) by height squared (m 2 ) (kg/m 2 ).
ii. HRV analysis HF and LF HRV components reflect parasympathetic and sympathetic activation [19]. The LF/HF ratio is generally assessed to measure the overall sympathetic vagal balance and degree of autonomic excitation [19]. RR intervals recorded using the wearable heart rate sensor WHS-1/RRD-1 (Union Tool Corporation, Tokyo, Japan) were downloaded and analyzed using the HRV analysis software RRI Analyzer 2 (Union Tool Corporation, Tokyo, Japan). The software converted the RR interval into the frequency domain indices LF (ms 2 ), HF (ms 2 ), and LF/HF ratio. Each index was calculated at 2-min intervals based on standard recommendations; 1 min is needed to assess the HF component of HRV, whereas approximately 2 min is required in order to address the LF component [20]. Before analysis, automatic artifact correction and HRV spectral analysis were performed on all recordings. According to standard recommendations, the LF and HF bands were defined at 0.04-0.15 Hz and 0.15-0.4 Hz, respectively [21].
iii. Blood pressure SBP and diastolic blood pressure (DBP) were measured automatically using the oscillometric method with a wrist sphygmomanometer (HEM-9601T, Omron Healthcare Corporation) worn on the left wrist at 09:00 (baseline) and 02:00 and 04:00 (while sleeping). The coefficient was 2%, and the inter-rater coefficient of variation was 3%.
Fifteen participants were included in the complete analysis for this study. Clinical response rates and 95% confidence intervals were calculated, and blind statistical analyses were performed. Data for the outcome variables were tested for normality and log normality using the Shapiro-Wilk test. Repeated measures two-way analysis of variance was used to evaluate the between-trial changes in each step of each intervention using a post hoc test (Bonferroni method). All statistical analyses were performed using IBM SPSS Statistics (ver. 25; IBM Corp., NY, USA), with a statistical significance level of 5%. All data were presented as mean ± standard deviation.
All enrolled participants (n = 15) completed the study sessions without any adverse events. Participants' height, weight, body fat percentage, BMI, resting blood pressure, heart rate, and spontaneous respiratory rate are summarized in Table 1.
HF is shown in Figures 1a, and1b. HF for all trials was higher during sleeping than at 23:00 (awake) (P<0.05, Figure 1a). HF during sleep was more increased in BT and BT+Non-LED trials than in CON trials (P<0.05, Figure 1b).
LF/HF is shown in Figures1cand 1d. LF/HF for all trials was lower during sleep than before bedtime (P<0.05, Figure 1c). LF/HF during sleep was higher in BT and BT+Non-LED trials than in CON trials (P<0.05, Figure 1d).
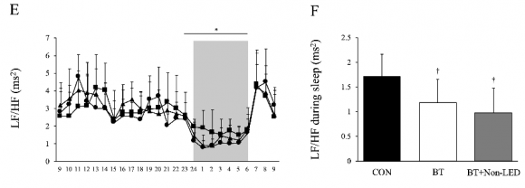
LF/HF is shown in Figures 1e and1f. LF/HF for all trials was lower during sleep than before bedtime (P<0.05, Figure 1e). LF/HF during sleep was higher in BT and BT+Non-LED trials than in CON trials (P<0.05, Figure 1f).
SBP and DBP are shown in Figure 2. SBP and DBP for all trials were lower at 02:00 and 04:00 (sleeping) than at baseline (P<0.05, Figure 2a and2b); SBP and DBP at 02:00 and 04:00 were lower for the BT+Non-LED trial than for the CON trial (P<0.05, Figure 2a and2b).
Results of this intervention in young men showed that HF during sleep was higher in the BT and BT+Non-LED trials than in the CON trial, and LF and LF/HF during sleep were lower in the BT and BT+Non-LED trials than in the CON trial. Sleeping SBP and DBP were also lower in the BT+Non-LED practice than in the CON trial. Thus, daily abdominal breathing improved parasympathetic and sympathetic activity during sleep. Furthermore, this is the first study to show that the combination of daily abdominal breathing and the prohibition of using LED before bedtime reduced blood pressure during sleep.
Autonomic nervous system controls heart rate [1]. Changes in activities of the parasympathetic and sympathetic nervous system change each heartbeat, and this HRV can reflect the movement of the autonomic nervous system [22]. This study was conducted on young men to avoid the effects of sex on HRV. Breathing involves sympathetic activity during the inspiratory phase and parasympathetic activity during the expiratory phase [23]. Other slow, deep breathing, such as that used in yoga and meditation, regulates autonomic nervous system function [24]. Slow, deep breathing may accommodate higher cardiopulmonary synchrony and promote the parasympathetic tone [25].
In contrast, irregular and rapid breathing can cause sympathetic excitation [26]. Slow-paced breathing interventions improve sleep quality [27]. According to Oneda et al. [28], slow deep breathing caused cardiopulmonary synchronization and a more potent inhibition of sympathetic activity. Diaphragmatic breathing increases parasympathetic activity at night and improves sleep quality [29]. Past studies have significantly increased HFpower and reduced state anxiety in young people [30]. Similar to previous studies, this study showed that slow, deep breathing increased parasympathetic activity and decreased sympathetic activity during sleep. Thus, slow, deep breathing could be used to improve sleep quality. However, whether the results of this study are, the effect of daily diaphragmatic breathing or one before bedtime cannot be determined. In other words, the impact of pre-bedtime and daily diaphragmatic breathing on autonomic activity during rest must be compared.
Diaphragmatic breathing can affect blood pressure variability. Recently, Lee et al. [31] found that slow, deep breathing caused a circadian effect improvement in blood pressure and heart rate in young adults. Many studies have shown that deep breathing lowered SBP by 4-54 mmHg in individuals of various ages with various blood pressure levels [32]. In this study, a decrease in SBP and DBP was observed at bedtime at night after a full day of practicing slow deep breathing, indicating suppression of sympathetic activity. According to Kario et al. [16], a ten mmHg increase in SBP while sleeping is associated with a 20% increased risk of cardiovascular disease, independent of office or early morning blood pressure. In other words, reducing nocturnal blood pressure is necessary to reduce future cardiovascular disease mortality. Therefore, the implementation of abdominal breathing, as evident through the results of this study, could lower blood pressure during sleep and reduce the risk of future cardiovascular disease mortality.
The use of smartphones, tablets, and other LEDs has increased significantly over the past decade [33]. LEDs have become so indispensable that they are now portable and easily transportable, and may have become such a routine that they can be used while lying down at bedtime. This is because light is the most powerful environmental signal affecting the human circadian clock and may play a role in perpetuating sleep deprivation [34]. Other studies have assessed the use of technology devices in the hour before bedtime (e.g., TV most popular; 60%), but those aged under 30 years are more likely to use cell phones than those aged over 30 years (36% of middle-aged and 16% of older adults) [35]. In healthy young adults, the use of blue light-emitting smart devices before bedtime has been shown to reduce sleep quality [36]. To our knowledge, no studies have reported the autonomic effects of smartphone or tablet use. Prior studies have examined autonomic responses to blue light emission in healthy young individuals and found no clear evidence to support changes in the autonomic effects of blue light emission [37]. The study found no difference in the results of breathing alone or diaphragmatic breathing and the prohibition of using media devices before bedtime on the activity of the autonomic nervous system during sleep. A study in healthy men reported that the adding bright light (~10,000 lux) to the room led to a decrease in the amplitude of the melatonin rhythm [38]. Chang et al. reported that reading an e-book on an LED rather than a printed book before bedtime suppressed melatonin release and perpetuated sleep deprivation in healthy young adults [39]. Scheer et al. reported that taking melatonin 1 hour before bedtime significantly lowered blood pressure during sleep [40]. In this study, blood pressure during sleep was lower in the BT+Non-LED trial compared to the CON trial. In other words, the improvement in the autonomic nervous system during bedtime due to slow breathing and the activity of melatonin secretion due to the prohibition of LEDs before rest may have reduced blood pressure during sleep. However, improvement in HRV was observed after four weeks of breathing training [41]. Breathing training lowers blood pressure [42]. Importantly, these reductions are similar to those seen in response to other non-pharmacological lifestyle interventions (e.g., Dietary Approaches to Stop Hypertension diet, sodium restriction, caloric restriction, aerobic exercise, and meditation) [43]. In other words, since autonomic nervous system activity is related to blood pressure, slow, prolonged breathing may effectively lower blood pressure during sleep. Therefore, we need to examine the long-term effects of slow breathing on autonomic nervous system activity, melatonin, and blood pressure during sleep.
There were several limitations to this study. First, because the participants were healthy young men, caution should be exercised in generalizing the results to older adults and those with impaired sleep quality, such as those with metabolic syndrome. Second, this study did not assess melatonin activity or perform EEG, the results of which may have significant effects on arterial stiffness. Third, this is a study of acute effects and not a long-term study. Breathing techniques and prohibiting the use of luminous devices may contribute to better sleep quality but require more long-term studies. The small sample size warrants caution in interpreting the results and limits the generalizability of the present findings.
V.
In this study, HF during sleep was significantly higher, and LF was lower in the BT and BT+Non-LED trials than in the CON trial. Furthermore, blood pressure during sleep was significantly lower in BT+Non-LED problems than in CON trials. These results suggest that slow breathing techniques and prohibiting the use of LEDs before bedtime may be effective in improving sleep quality and nocturnal blood pressure in healthy young adults.



| Year 2023 | |
| 23 | |
| Variable | Value |
| Age, years | 20 ± 2 |
| Height, cm | 170 ± 5 |
| Weight, kg | 57 ± 4 |
| Body fat, % | 16 ± 2 |
| BMI, kg/m 2 | 19 ± 2 |
| Values are mean ± SD; BMI, body mass index. | |
None.
Data described in the manuscript, code book, and analytic code will be made available upon request pending [e.g., application and approval, payment, other].
Not applicable.
None.
RK and HN designed the research; RK and HN conducted the research; RK and HN analyzed data; and RK wrote the paper. RK had the primary responsibility for the final content. All authors read and approved the final manuscript.
Disclosure of potential conflicts of interest: The authors declare that they have no conflict of interest.
This study was conducted in accordance with the Declaration of Helsinki and approved by the Ethics Committee of Teikyo University of Science (approval No.: 22A009). This study has been clinically registered with the University Hospital Medical Information Network Center (study No.: UMIN000050435).
Informed consent: Before the study began, all participants received a complete explanation of the study's purpose and methods before providing their written informed consent.
Fluctuations in autonomic nervous activity during sleep displayed by power spectrum analysis of heart rate variability. 10.1212/wnl.45.6.1183. https://doi.org/10.1212/wnl.45.6.1183 Neurology 1995. 45 p. .
Perception of sleep disturbances due to bedtime use of blue light-emitting devices and its impact on habits and sleep quality among young medical students. 10.1155/2019/7012350. https://doi.org/10.1155/2019/7012350 BioMed Res Int 2019. 2019. p. 7012350.
Power spectrum analysis of heart rate variability: A tool to explore neural regulatory mechanisms. 10.1136/hrt.71.1.1. https://doi.org/10.1136/hrt.71.1.1 Br Heart J 1994. 71 (1-2) .
Evening use of light-emitting eReaders negatively affects sleep, circadian timing, and nextmorning alertness. 10.1073/pnas.1418490112. https://doi.org/10.1073/pnas.1418490112 Proc Natl Acad Sci U S A 2015. 112 p. .
Information domain analysis of cardiovascular variability signals: Evaluation of regularity, synchronisation and coordination. 10.1007/BF02344774. https://doi.org/10.1007/BF02344774 Med Biol EngComput 2000. 38 p. .
How breath-control can change your life: A systematic review on psycho-physiological correlates of slow breathing. 10.3389/fnhum.2018.00353. https://doi.org/10.3389/fnhum.2018.00353 Front Hum Neurosci 2018. 12 p. 353.
Sympathetic nerve activity is decreased during device-guided slow breathing. 10.1038/hr.2010.74. https://doi.org/10.1038/hr.2010.74 Hypertens Res 2010. 33 p. .
Perspective: Casting light on sleep deficiency. 10.1038/497S13a. https://doi.org/10.1038/497S13a Nature 2013. 497. (Suppl 13:S13)
Slow breathing improves arterial baroreflex sensitivity and decreases blood pressure in essential hypertension. https://doi.org/ Hypertension 2005. 46 p. .
Amplitude reduction and phase shifts of melatonin, cortisol and other circadian rhythms after a gradual advance of sleep and light exposure in humans. 10.1371/journal.pone.0030037. https://doi.org/10.1371/journal.pone.0030037 PLOS ONE 2012. 7 p. 30037.
Stress analysis based on simultaneous heart rate variability and EEG monitoring. 10.1109/JTEHM.2021.3106803. https://doi.org/10.1109/JTEHM.2021.3106803 IEEE J TranslEng Health Med 2021. 9 p. 2700607.
Heart rate variability during specific sleep stages. A comparison of healthy subjects with patients after myocardial infarction. 10.1161/01.cir.91.7.1918. https://doi.org/10.1161/01.cir.91.7.1918 Circulation 1995. 91 p. .
Difference in autonomic nervous effect of blue light depending on the angle of incidence on the eye. 13104-020-04988-5. https://doi.org/10.1186/s BMC Res Notes 2020. 13 p. 141.
Daily nighttime melatonin reduces blood pressure in male patients with essential hypertension. 10.1161/01.HYP.0000113293.15186.3b. https://doi.org/10.1161/01.HYP.0000113293.15186.3b Hypertension 2004. 43 p. .
An overview of heart rate variability metrics and norms. 10.3389/fpubh.2017.00258. https://doi.org/10.3389/fpubh.2017.00258 Front Public Health 2017. 5 p. 258.
Heart-rate variability-more than heart beats?. 10.3389/fpubh.2017.00240. https://doi.org/10.3389/fpubh.2017.00240 Front Public Health 2017. 5 p. 240.
Heart rate variability and cognitive function: A systematic review. 10.3389/fnins.2019.00710. https://doi.org/10.3389/fnins.2019.00710 Front Neurosci 2019. 13 p. 710.
Breathing exercise for hypertensive patients: A scoping review. 10.3389/fphys.2023.1048338. https://doi.org/10.3389/fphys.2023.1048338 Front Physiol 2023. 14 p. 1048338.
Nonpharmacologic interventions for reducing blood pressure in adults with prehypertension to established hypertension. 10.1161/JAHA.120.016804. https://doi.org/10.1161/JAHA.120.016804 J Am Heart Assoc 2020. 9 p. 16804.
Effects of diaphragmatic breathing on ambulatory blood pressure and heart rate. 10.1016/j.biopha.2003.08.011. https://doi.org/10.1016/j.biopha.2003.08.011 Biomed Pharmacother 2003. 57 (Suppl 1) p. .
Autonomic activity during human sleep as a function of time and sleep stage. 10.1046/j.1365-2869.2001.00263.x. https://doi.org/10.1046/j.1365-2869.2001.00263.x J Sleep Res 2001. 10 p. .
The effect of breathing cycles program on heart rate and sleep parameters in healthy young adults. https://doi.org/ Sleep Med Res 2020. 11 p. .
Inhibition of heart rate variability during sleep in humans by 6700 K pre-sleep light exposure. 10.2114/jpa2.26.39. https://doi.org/10.2114/jpa2.26.39 J PhysiolAnthropol 2007. 26 p. .
Nighttime blood pressure measured by home blood pressure monitoring as an independent predictor of cardiovascular events in general practice. 10.1161/HYPERTENSIONAHA.118.12740. https://doi.org/10.1161/HYPERTENSIONAHA.118.12740 Hypertension 2019. 73 p. .
Karoshi-Death from overwork: Occupational Health consequences of Japanese production management. 10.2190/1JPC-679V-DYNT-HJ6G. https://doi.org/10.2190/1JPC-679V-DYNT-HJ6G Int J Health Serv 1997. 27 p. .
The relaxation effect of prolonged expiratory breathing. 10.4081/mi.2018.7669. https://doi.org/10.4081/mi.2018.7669 MentIlln 2018. 10 p. 7669.
The sleep and technology use of Americans: Findings from the National Sleep Foundation's 2011 Sleep in America poll. 10.5664/jcsm.3272. https://doi.org/10.5664/jcsm.3272 J Clin Sleep Med 2013. 9 p. .
Sleep and use of electronic devices in adolescence: Results from a large population-based study. 10.1136/bmjopen-2014-006748. https://doi.org/10.1136/bmjopen-2014-006748 BMJ Open 2015. 5 p. 6748.
Epidemiological Overview of sleep Disorders in the General Population. 10.17241/smr.2011.2.1.1. https://doi.org/10.17241/smr.2011.2.1.1 Sleep Med Res 2011. 2 p. .
Autonomic nervous system functioning related to nocturnal sleep in patients with chronic fatigue syndrome compared to tired controls. 10.5664/jcsm.6924. https://doi.org/10.5664/jcsm.6924 J Clin Sleep Med 2018. 14 p. .
Single slow-paced breathing session at six cycles per minute: Investigation of dose-response relationship on cardiac vagal activity. 10.3390/ijerph182312478. https://doi.org/10.3390/ijerph182312478 Int J Environ Res Public Health 2021. 18 p. 12478.
Breath of life: The respiratory vagal stimulation model of contemplative activity. 10.3389/fnhum.2018.00397. https://doi.org/10.3389/fnhum.2018.00397 Front Hum Neurosci 2018. 12 p. 397.
Respiratory modulation of the autonomic nervous system during Cheyne-Stokes respiration. 10.1139/Y05-145. https://doi.org/10.1139/Y05-145 Can J PhysiolPharmacol 2006. 84 p. .
Sudarshan kriya yoga: Breathing for health. 10.4103/0973-6131.105935. https://doi.org/10.4103/0973-6131.105935 Int J Yoga 2013. 6 p. .
Heart rate variability and cardiac vagal tone in psychophysiological research -Recommendations for experiment planning, data analysis, and data reporting. 10.3389/fpsyg.2017.00213. https://doi.org/10.3389/fpsyg.2017.00213 Front Psychol 2017. 8 p. 213.
Influence of a 30-day slow-paced breathing intervention compared to social media use on subjective sleep quality and cardiac vagal activity. 10.3390/jcm8020193. https://doi.org/10.3390/jcm8020193 J Clin Med 2019. 8 p. 193.
Effects of voluntary slow breathing on heart rate and heart rate variability: A systematic review and a meta-analysis. 10.1016/j.neubiorev.2022.104711. https://doi.org/10.1016/j.neubiorev.2022.104711 NeurosciBiobehav Rev 2022. 138 p. 104711.
Effect of aging on gender differences in neural control of heart rate. 10.1152/ajpheart.1999.277.6.H2233. https://doi.org/10.1152/ajpheart.1999.277.6.H2233 Am J Physiol 1999. 277 p. .
Benefits from one session of deep and slow breathing on vagal tone and anxiety in young and older adults. 10.1038/s41598-021-98736-9. https://doi.org/10.1038/s41598-021-98736-9 Sci Rep 2021. 19267. 11.
Meta-analysis of effects of voluntary slow breathing exercises for control of heart rate and blood pressure in patients with cardiovascular diseases. 10.1016/j.amjcard.2017.03.247. https://doi.org/10.1016/j.amjcard.2017.03.247 Am J Cardiol 2017. 120 p. .